Dantas tentou esconder ilegalidade do Safra e do UBS
O vazamento da Satiagraha (e de outros documentos ligados a Daniel Dantas, o passador de bola apanhado no ato de passar bola) mostra, na “Parte I”, como Daniel Dantas e seus prepostos – a irmã, Verônica, foi sócia da filha do Cerra em Miami – tentaram ocultar de dois bancos que eles próprios, os diretores do Opportunity, eram clientes do Opportunity em fundos no exterior.
O que é crime.
Aliás, quando Ministro da Fazenda, Tony Palocci nomeou para presidente da CVM, no lugar de um sócio e advogado de Dantas, um advogado do advogado de Dantas.
Um ilustre causídico de nome Marcelo Trindade.
Este substituto, o Dr Trindade (teria substituído, mesmo ?), investigou quem eram os aplicadores dos fundos do Opportunity.
Descobriu o crime e aplicou uma pena simbólica.
E saiu-se com essa: todo mundo faz isso.
A lei proíbe residentes no Brasil de aplicar em fundos no exterior.
Esse Tony ...
Depois, um “conselhinho” do Ministério da Fazenda tornou sem efeito a punição (simbólica) do Trindade.
E agora o “conselhinho” vai fazer o que ?
Cortar os pulsos ?
Pedir ajuda aos advogados do Dantas ?
O WikiLeaks mostra também a facilidade com que os prepostos de Dantas usavam e abusavam do dinheiro da Brasil Telecom.
O Farol de Alexandria deu ao “brilhante” Dantas, de mão beijada, os instrumentos (fundos de pensão) para Dantas administrar a Brasil Telecom.
Mas, administrava em nome dos sócios controladores, os fundos de pensão (Previ, Petros e Funcef) e do Citibank.
E aí aparecem os prepostos do Dantas a aplicar o dinheiro da Brasil Telecom de “outras teles”.
Será que os aposentados do Banco do Brasil sabiam disso ?
Será que a Previ acompanhou isso de perto e autorizou ?
A seguir, o amigo navegante verá que o Banco Central do Dr Henrique Meirelles, aquele que foi presidente do BankBoston, notou certas irregularidades no banco Opportunity.
Num esforço hercúleo de conferir honestidade ao Sistema, o Dr Meirelles percebeu umas poucas coisas.
Nada que assustasse o Dr Meirelles.
Mas, pelo WikiLeaks se sabe que o Daniel Dantas se comprometeu a assinar um acordo de confidencialidade que mostrava tudo ao banco Central: menos o que ele, Dantas, e seus funcionários de confiança faziam.
É sensacional !
Clique aqui para ler “WikiLeaks vaza Satiagraha e pega advogado de Dantas (Mirza) com a mão na botija”.
Clique aqui para ler “Wikileaks sobre a Satiagraha incenta Dilma: ela sabia onde estava a “sacanagem”.
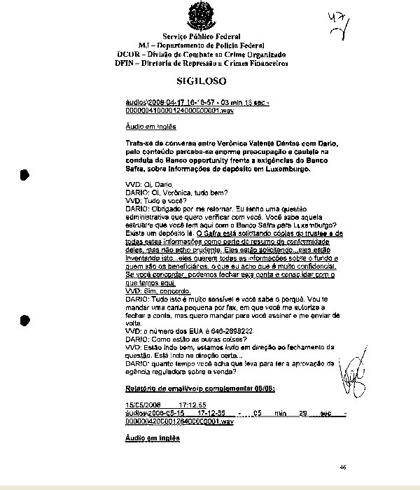
Veja os documentos (ainda só da Parte I) que tratam medo de o Safra e o UBS descobrirem tudo !
E o documento em que Dantas diz ao Banco Central que pode investigar todo mundo, menos ele, Dantas.
É sensacional !
E o que fez o Banco Central do Dr Henrique Meirelles ?
Veja amigo navegante: viva o Brasil !
Em tempo: amigo navegante, será que o Banco Central já cassou a autorização para o Banco Opportunity operar ?
